团子讲数学-矩阵除法
团子讲数学-矩阵除法
大家好,今天我们来讲矩阵除法。上一次,我们说过了怎么做乘法,其实除法里面也包含了乘法的。
团子录制了一个视频讲如何做矩阵除法,欢迎观看!
ccccccc/xo4stqdwqqi 就可以了,比如这个例子:

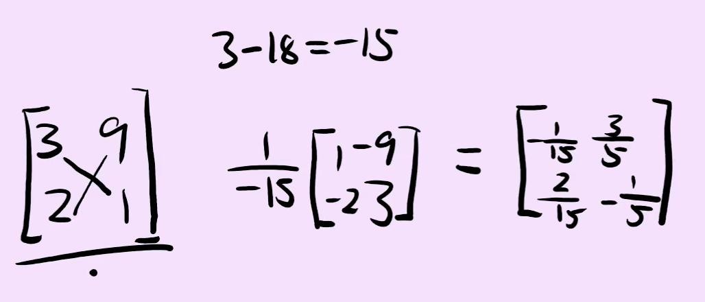
这就是行列式。知道了一个矩阵的行列式,就可以找它的倒数了。
对于找矩阵的倒数有一个公式,如果这个矩阵是(a,b)/(c,d)
那它的倒数就是:

知道了怎么找一个矩阵的倒数,就可以做矩阵除法啦!我们只要找到除数的倒数,再用被除数乘以它就可以了。比如:

要找到除数的倒数:

然后用被除数乘以它(黄笔):

这个就是矩阵的除法。
现在,我们来公布上次谜题的答案:
问题:你的父母有包括你在内的六个儿子,每个儿子都有一个姐姐。 请问,这个家庭有几口人?
答案:九个。 两个父母,六个儿子和一个女儿。 他们都有一个姐姐(不是六个姐姐)。
现在进入今天的趣味谜题:你离开你的营地,向南徒步3英里。 向东转,走了3英里。 然后转北,徒步3英里,这时你碰到你的帐篷里的一只熊在吃你的食物! 请问,熊是什么颜色的?
答案我们下一篇文章公布
标签:
