中国书法 名碑名帖(27)《淳 化 阁 帖》最 善 本 卷八 王羲之书之三
中国书法 名碑名帖(27)《淳 化 阁 帖》最 善 本 卷八 王羲之书之三
《淳 化 阁 帖》最 善 本 卷八 王羲之书之三
《淳化阁帖》是中国最早的一部汇集各家书法墨迹的法帖。所谓法帖,就是将古代著名书法家的墨迹经双钩描摹后,刻在石板或木板上,再拓印装订成帖。


《淳化阁帖》共10卷,收录了中国先秦至隋唐一千多年的书法墨迹,包括帝王、臣子和著名书法家等103人的420篇作品,被后世誉为中国法帖之冠和“丛帖始祖”。


宋淳化三年(992年),太宗赵炅令出内府所藏历代墨迹,命翰林侍书王著编次摹勒上石于禁内,名《淳化阁帖》。


此帖又名《淳化秘阁法帖》,简称《阁帖》,系汇帖,共十卷。第一卷为历代帝王书,二、三、四卷为历代名臣书,第五卷是诸家古法帖,六、七、八卷为王羲之书,九、十卷为王献之书。


元赵孟頫《松雪斋文集· 阁帖跋》曰:“ 宋太宗……淳化中,诏翰林侍书王著,以所购书,由三代至唐,厘为十卷,摹刻秘阁。赐宗室、大臣人一本,遇大臣进二府辄墨本赐焉。后乃止不赐,故世尤贵之。”
















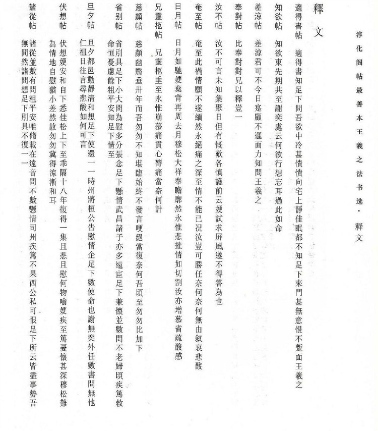
附:《淳化阁帖》最善本六、七、八卷 王羲之书《释文》:







图文收集于网络。文字或有改动。图片或有缩放剪裁。意在宣传、推介、分享、欣赏。若涉及版权请在评论区告知即刻删除。
标签:
