第四讲 核磁氢谱解析实例分享
第四讲 核磁氢谱解析实例分享
例1 经质谱测定某未知物分子式为C6H14O2 ,其核磁共振氢谱如下图所示,试推导其结构。在低场3.65 ppm的单峰加重水交换后消失。核磁共振氢谱是用300 MHz谱仪测定的。

解析:1、判断杂质与溶剂,确定氢个数
根据化合物分子式C6H14O2,得知氢原子个数为14个,而氢谱中显示14个,其中δ 4.78处峰为溶剂水峰。
2、计算不饱和度
6+1-14/2=0,即结构中不纯在不饱和片段。
3、确定结构中含有的官能团
根据氢谱,可以看出有三个积分为3的峰信号,为三个甲基氢信号,分别为:
δ 1.18处d峰、δ 1.26处单峰、δ 1.31处单峰。
δ 1. 62处的峰组对应两个氢原子,因此是一个亚甲基,观察右侧的一个氢,应该峰型应为dd峰,其中一个较大耦合常数为同碳的氢的耦合,另一个较小的耦合常数为邻碳的氢的耦合,因此推测邻碳为CH。
δ 3.65处峰组对应因加重水交换后消失,因此可知它对应的是活泼氢。因为分子式仅含氧原子,所以两个活泼氢只能是羟基。
δ 4.21处多重峰,为相邻基团耦合裂分所致,峰组对应连氧次甲基氢。
4、组合可能的结构式
有个d峰的甲基,说明邻位连有次甲基,而氢谱中只有一个连羟基的次甲基;同理说明亚甲基与该次甲基相连;因为亚甲基的耦合裂分情况,知道相邻还连有一个季碳原子,而剩余一个羟基和两个单峰甲基均与该季碳相连,综上,推测化合物结构如下:

例2:化合物分子式为C10H12O2,其氢谱如下图所示,试推断其结构

1、确定氢谱氢个数
氢谱积分显示共12个氢,与分子式相符
2、计算不饱和度
分子式C10H12O2,计算不饱和度为10+1-12/2=5
3、确定结构中含有的官能团
根据氢谱,可以看出δ 2.1处单峰,积分为3,为甲基氢信号。
δ 3.0和δ 4.30处的峰组均对应两个氢原子,因此是两个亚甲基,两者峰型均为t峰,且峰间距基本一致,推测为相互耦合,即相邻的两个亚甲基。
δ 4.30处的峰组,较正常饱和CH2偏低场,为连氧亚甲基。
δ 7.3处峰组积分为5,结合不饱和度,推测结构中存在单取代的苯环。
4、组合可能的结构式
根据上述官能团信息,可以判断结构中含有单取代苯环、-OCH2CH2-、-CH3,氢谱中甲基的化学位移为δ 2.1,且分子式中还有剩余一个氧原子,不饱和度也剩余1个,推测甲基与羰基相连。综上,推测化合物结构如下两种情况

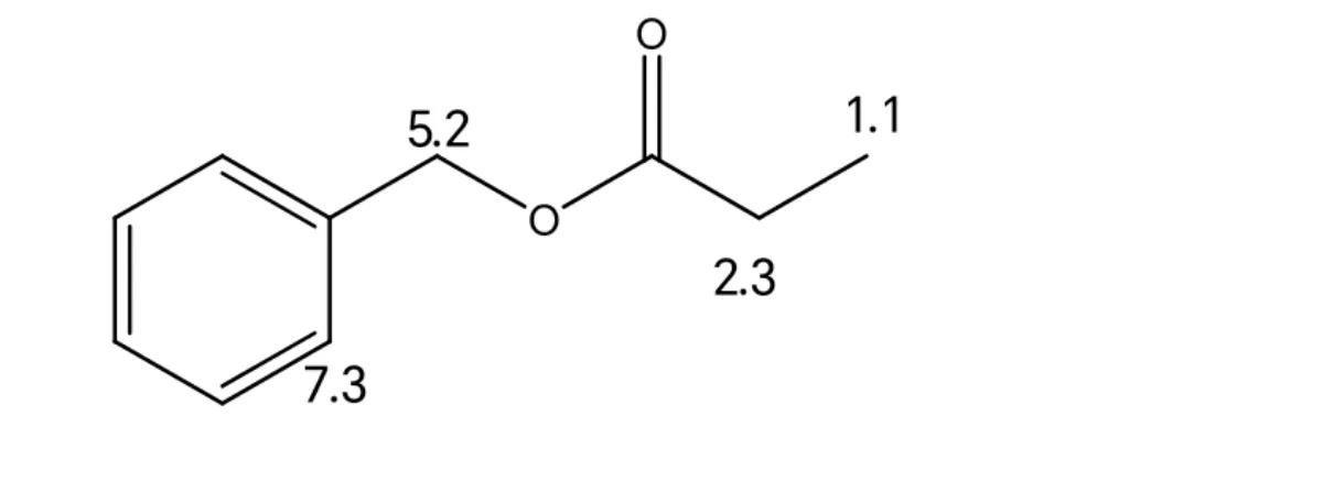
例3:化合物分子式为C10H12O2,其1H NMR谱图数据如下:7.3(s, 5H),5.2(s, 2H),2.3(q, 2H),1.1(t, 3H)。试推断其结构。

解析:
1、确定氢谱中氢个数
氢谱显示,氢个数为12,所以结构中无活泼氢
2、计算不饱和度
分子式C10H12O2,计算不饱和度为10+1-12/2=5
3、确定结构中含有的官能团
根据氢谱,可以看出δ 1.1处t峰,积分为3,为甲基氢信号。
δ 2.3处的峰组均对应两个氢原子,因此是两个亚甲基,峰型均为q峰,与甲基峰间距基本一致,推测为相互耦合,甲基与亚甲基相连。
δ 5.2处的峰组,较正常饱和CH2偏低场,为连氧亚甲基。
δ 7.3处峰组积分为5,推测结构中存在单取代的苯环。
4、组合可能的结构式
根据上述官能团信息,可以判断结构中含有单取代苯环、-OCH2-、-CH2CH3,分子式中还有剩余一个氧原子,不饱和度也剩余1个,推测结构中存在羰基。综上,推测化合物结构如下:

标签:
